Polynomials

Definition

  • A polynomial is an expression made of terms with positive integer exponents only. For example, all the following are polynomials.
  • \[\begin{aligned} & 7;\qquad && x^2;\qquad && 8k \\ & n;\qquad && m^3;\qquad && a^2b^3 \\ & x-5;\qquad && 2x+3y;\qquad && 3x^2-2y^3 \\ & a^2b+3ab^3-4xy;\qquad && \dfrac{cd^2}{7};\qquad && \dfrac{m}{\sqrt{5}} \end{aligned}\]
  • No division by variables is allowed in a polynomial term, because division is equivalent to negative exponents.
  • No roots of variables are allowed in polynomial terms, because these are allowed to rational exponents.
    For instance, the following are not polynomials.
  • \[\begin{aligned} & \dfrac{3}{x};\qquad && a^{-2};\qquad && b^{\frac{2}{3}} \\ & \dfrac{a}{b-2};\qquad && \sqrt{x};\qquad && \dfrac{x^2-1}{x} \\ & \sqrt{m^2+5};\qquad && k^3-\dfrac{3}{n} \end{aligned}\]
  • The degree of a polynomial is the highest degree of its terms. We typically write the terms of a polynomial in a descending order of their degree.

Terminology

A polynomial is named according to its degree as follows.

Degree Name
1 Linear
2 Quadratic
3 Cubic
4 Quartic

The general term ‘\(n\)-degree’ polynomial applies to any polynomial of degree \(n\).

Distributive property

When we multiply a monomial by a polynomial, we multiply it by each term in the polynomial. We say that multiplication is distributive over addition and subtraction.

Distributive property 1

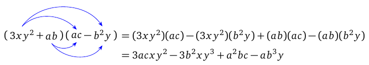
When we multiply a polynomial by another, we multiply each term in the first by each term in the second. In case of a binomial multiplied by another binomial, we have the acronym ‘FOIL’, which stands for ‘First’, ‘Outer’, ‘Inner’, and ‘Last’.

Distributive property 2